About MFPK

MFPK is a platform for predicting PK parameters of intravenous administration across multiple species.


Model Architecture

MFPK Model Architecture Diagram

Our model employs a multi-fidelity pre-training strategy to align upstream and downstream information, preventing negative transfer effects.

The algorithm also integrates molecular graphs, motif graphs, and conformational information to generate accurate predictions.


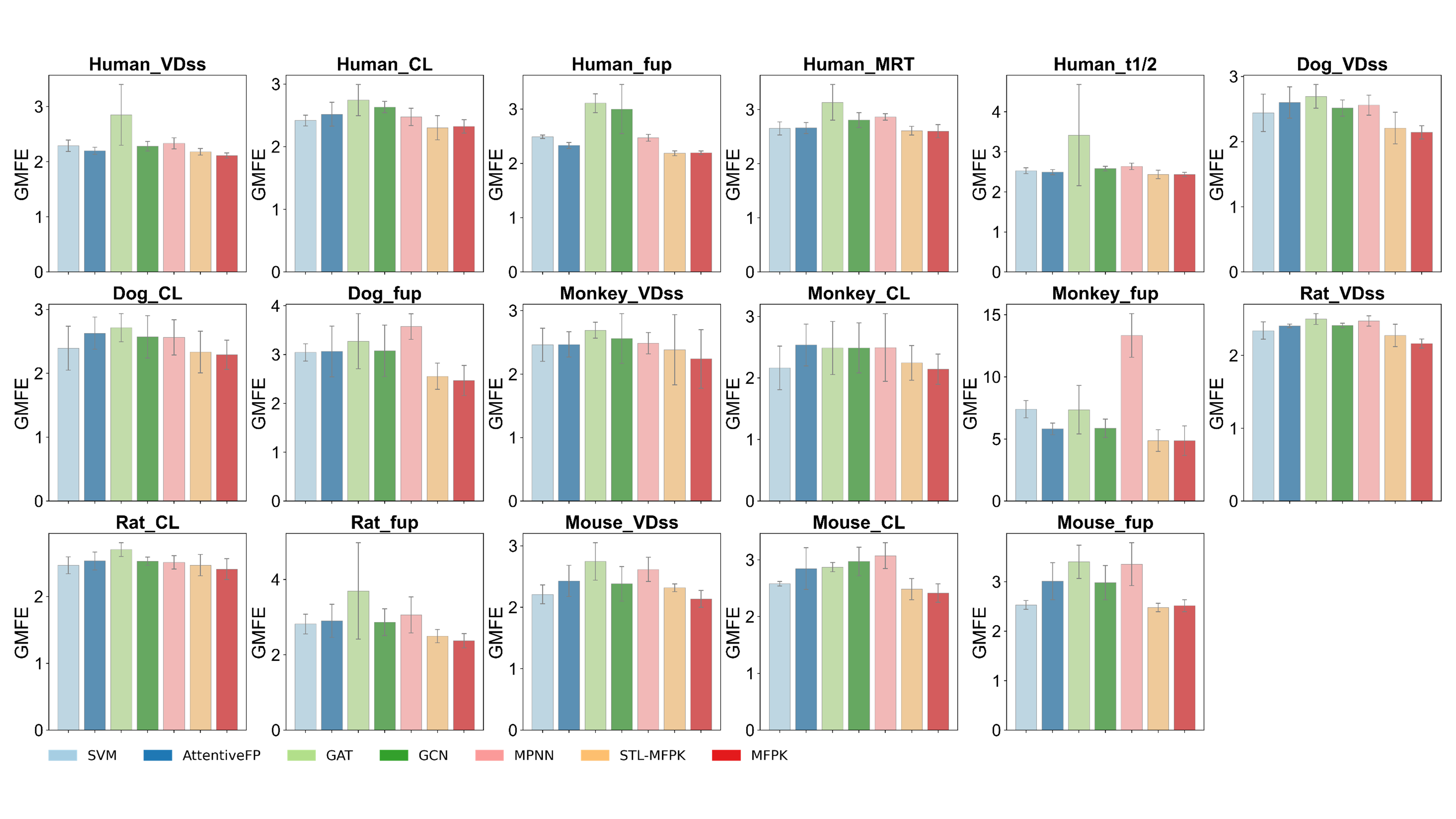
Model Performance

Our platform demonstrates outstanding performance across multiple evaluation metrics. Comprehensive validation studies indicate that it holds significant advantages over methods such as AttentiveFP, GAT, GCN, and MPNN.

MFPK Model Performance Chart

Contact Us

For questions, collaborations, or more information about our work, please feel free to reach out.

Laboratory of Molecular Modeling and Design

🔗 LMMD Group

Weihua Li (Professor)

📧 Email: whli@ecust.edu.cn

Jiaojiao Fang (Author)

📧 Email: jjfang@mail.ecust.edu.cn